Imaginați-vă o cameră. În ea, opt persoane stau la o masă. Acum, imaginați-vă averile lor combinate. Această sumă este echivalentă cu tot ce dețin, la un loc, cei mai săraci 3.8 miliarde de oameni de pe planetă. Nu este un scenariu distopic, ci o realitate statistică a anului 2025, o realitate care ridică o întrebare la fel de veche ca banii înșiși: este imoral să fii excesiv de bogat?
Majoritatea dintre noi am fi tentați să spunem nu, însă un studiu recent, publicat în Eurek Alert, aruncă o lumină neașteptată asupra acestei dileme, dezvăluind că intuiția noastră morală este mult mai complexă și, adesea, contradictorie.
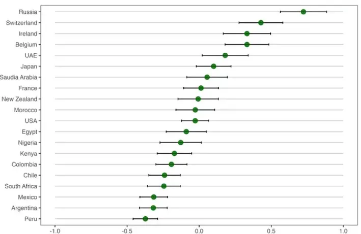
Harta globală a condamnării bogăției: cine crede că e imoral să fii „prea bogat”
Cercetătorii Jackson Trager și Mohammad Atari au demarat o investigație amplă, chestionând 4.351 de persoane din 20 de țări, de la Peru la Rusia. Întrebarea a fost directă și lăsată deschisă interpretării: „Este moral greșit să ai prea mulți bani?”. Fără a defini un prag numeric pentru „prea mult”, ei au permis nuanțelor culturale și personale să iasă la suprafață.

Rezultatele au conturat o geografie fascinantă a moralității. Oamenii din Rusia, Elveția și Irlanda au arătat cea mai puternică aversiune morală față de bogăția excesivă. La polul opus, în Peru, Argentina și Mexic, ideea de a avea prea mulți bani a fost întâmpinată cu cea mai mică dezaprobare.
Interesant este că, la nivel global, media răspunsurilor s-a situat undeva între „deloc greșit” și „moderat greșit”. Dar adevărata revelație a apărut la analiza națiunilor. Cetățenii țărilor cu un PIB ridicat și, crucial, cu o mai mare egalitate socială, au fost semnificativ mai predispuși să condamne bogăția extremă. Se pare că atunci când inegalitatea este mai puțin vizibilă în viața de zi cu zi, excesul devine cu atât mai strident și mai greu de justificat moral.
Psihologia din spatele judecății: egalitate, puritate și politică
Studiul a aprofundat și profilul psihologic al respondenților. Nu este surprinzător că persoanele care valorizează autoritatea și cred într-un sistem pur meritocratic (unde averea este o recompensă directă pentru muncă și talent) au fost mai puțin înclinate să vadă o problemă în bogăția extremă. Același lucru a fost valabil și pentru cei cu orientare politică de dreapta.
Însă au apărut și două corelații neașteptate. Condamnarea morală a averilor excesive a fost mai puternică la tineri și la persoanele care prețuiesc concepte precum egalitatea și… puritatea.
Legătura cu puritatea, explică autorii, ar putea proveni dintr-o teamă ancestrală. Teama că sumele uriașe de bani – și posibilitățile infinite de auto-indulgență pe care le oferă – au un potențial corupător, erodând puritatea spirituală și caracterul unui individ. Pentru unii, bogăția extremă nu este doar nedreaptă; este, la un nivel visceral, dezgustătoare.
În final, dezbaterea depășește simpla economie. Ea atinge însăși fibra valorilor noastre. Dacă opt scaune la o masă pot echilibra averea a jumătate din populația globului, întrebarea care rămâne nu este doar despre bani. Este despre noi. Ce anume am eșuat, ca specie, să prețuim corect?












